XIII.4 Viskosität und Konvektionsstrom




Konvektion nennt man die Mitführung von Energie durch strömende Flüssigkeiten und Gase aufgrund eines Temperaturunterschiedes von einem Ort zum andren. Im Gegensatz zur Wärmeleitung, die mikroskopischer Natur ist, ist die Konvektion makroskopisch. Sie überlagert deshalb häufig die Wärmeleitung. Durch Temperatur- oder Dichtunterschiede bilden sich sehr komplizierte Strömungsfelder, deren Beschreibung Aufgabe der Strömungslehre ist. Mit unseren Erkenntnissen aus Kapitel IX können wir ein Gesetz herleiten:

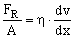
Für die innere Reibung galt

mitkann man

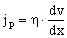
als Impulsstromdichte auffassen. Bezeichnet man die Impulsstromdichte mit jp, so gilt

bzw. vektoriell:

Impulsstromdichte


Gaskinetisch kann man diese Gleichung deuten als Beschleunigung der Gasmoleküle quer zur Bewegungsrichtung zwischen fester und bewegter Fläche.


Nachdem wir die drei Transportphänomene besprochen haben, betrachten wir noch einmal die eingangs angesprochene Parallelität. Die Gesetze lauteten:


1. Ficksches Gesetz: .

Fouriersches Gesetz: .

Impulsstromdichte .


Diese Gesetze haben alle die Form

wobei c eine Konstante und j die transportierte Größe ist. Man kann diese Gesetze zusammenfassen in einer Tabelle:


 

Diffusion

Wärmeleitung

Konvektion

Teilchenstrom

Wärmestrom

Impulsstrom

j

Teilchenzahldichte n

Temperatur T

Strömungsgeschwindigkeit

Konzentrationsänderung

Temperaturänderung

Beschleunigung

c

Diffusionskoeffizient D

Wärmeleitfähigkeit l

Viskosität