XIII.3 Wärmeleitung




Versuch XIII.1: Wärmeleitfähigkeit verschiedener Materialien



Auch zum Einstieg in dieses Kapitel betrachten wir ein Gedankenexperiment:

Zwei Behälter mit Wasser der Temperatur T1 und T2 werden durch einen Schlauch verbunden. Die Wärme strömt entlang des Temperaturgefälles. Zur Beschreibung dieses Vorgang definiert man den Begriff des Wärmestroms:


Definition XIII.3: Der Wärmestrom ist der Quotient aus Änderung der Wärme und der dafür benötigten Zeit: .

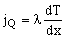
Beschrieben wir der Wärmestrom in Abhängigkeit von der Zeit durch eine Gleichung, die proportional sein muß zu der Fläche A, durch welche die Wärme strömen kann, und die proportional sein muß zur Temperaturdifferenz dT pro Weg dx. Die Proportionalitätskonstante wird Wärmeleitfähigkeit genannt und mit l bezeichnet. Dann gilt

Definiert man nun die Wärmestromdichte


Definition XIII.4: Die Wärmestromdichte jQ ist der Quotient aus Wärmestrom und der Fläche, über die der Wärmestrom erfolgt: .

Damit folgt mit
,

daß

Û

Differentiell gilt das Fouriersche Gesetz:


Fouriersches Gesetz:


Aus Erfahrung weiß man, daß verschiedene Materialien verschiedene Wärmeleitfähigkeiten haben. Das zeigen wir kurz in einem Versuch:


Versuch XIII.1: Wärmeleitfähigkeit verschiedener Materialien

zurück zum Kopf der Seite

Vier gleich lange Stäbe unterschiedlichen Materials werden parallel in eine Halterung eingespannt. Nun werden die Stäbe gleich tief in flüssigen Stickstoff getaucht. Nach einigen Minuten, die zum Temperaturausgleich dienen, kann durch Anhauchen der Stäbe gezeigt werden, bis zu welcher Höhe deren Temperatur unter dem Gefrierpunkt liegt. Man beobachtet, daß Kupfer die Wärme viel besser leitet als Eisen oder Glas.

Die folgende Tabelle gibt die Wärmeleitfähigkeit für einige Materialien wider:

Stoff

Wärmeleitfähigkeit in

Silber

421

Kupfer

384

Eisen

40

Glas

0,7

Wasser

0,6

Luft

0,03

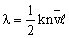
Die Erklärung der Wärmeleitung über das gaskinetische Bild macht das Phänomen der Wärmeleitung verständlich: Die kinetische Energie der Teilchen wir durch Stöße ausgeglichen. Die Rechnung liefert die Beziehung

d.h. die Wärmeleitfähigkeit ist um so größer, je mehr Teilchen in dem Volumen sind und je schneller diese sich bewegen. Das Verhältnis v ~ zeigt zudem, daß die Wärmeleitfähigkeit mit der Temperatur ansteigt.

In Metallen funktioniert die Wärmeleitung durch die Wärmeleitung der Elektronen. Die Anzahl der freien Elektronen ist damit nicht nur ein Maß der elektrischen Leitfähigkeit, sondern zudem ein Maß für die Wärmeleitfähigkeit.